L'isolation d´un tube   


L'isolation d´un tube et perte de chaleur




insulation scheme
x: Longueur de tuyau
s: Paroi du tuyau, Isolation
d: Diamètre
r: Rayon
v: vitesse de l'air
ρ: Densité
V : Débit volumétrique
T: Température du fluide
cp: Chaleur spécifique
λ: Conductivité thermique
α r: coefficient de transfert de chaleur rayonnement
α 4: coefficient de transfert de chaleur convection
qp: débit de chaleur par unité longueur

Steady State

Turbulent flow in the pipe. Medium temperature changes only with coordinate x. Pipe wall and insulation temperature change with x and r. Heat transfer between medium and pipe wall is so strong, that the inner pipe wall temperature equals medium temperature (α 1 => ∞, T=T1).

Medium´s change of enthalpie from x to (x+dx) equals the radial heat transfer (qp·dx) in tube section dx:

Wärmebilanz   qp > 0: recuire
qp < 0: chauffer

The heat flow per unit length qp at x depends on the geometry (d, s1, s2), the operational thermal conductivities of pipe wall and insulation (λ1, λ2), the heat transfer between insulation and environment by radiation and convection (αr, α4) and the temperature difference between medium and environment (T-T4):

qp=f(Ul,T,T4)

Ul : Coefficient de
transmission thermique par unité longueur


Temperature differences (T-T2), (T2-T3) and (T3-T4) can be derived from the laws for thermal conduction and convection. The heat flow per unit length qp stays constant in all 3 sections (pipe wall, insulation, environment), since neither pipe wall nor insulation pick up or release heat (temperature profile doesn´t change with time).

Thermal conduction   External heat transfer
(convection and radiation)
Wärmeleitung Teil1 Äusserer Wärmeübergang Teil1
Wärmeleitung Teil2 Äusserer Wärmeübergang Teil2



According to [DIN EN ISO 12241, pages 17-19] the following set of formulas describes free convection with x, d, s [m], α4 [W/(m² K)]. Laminar flow prevails for horizontal piping, turbulent flow for vertical piping.

tuyau vertical tuyau horizontal
laminaire x³ |T4-T3| <=10 [m³ K] alpha4_vert_lam
(d+2s2)³ |T4-T3| <=10 [m³ K] alpha4_hor_lam
turbulent alpha4_vert_turb alpha4_hor_turb


According to [DIN EN ISO 12241, pages 17-19] the following set of formulas describes forced convection with v [m/s], d,s [m], α4 [W/(m² K)] :

tuyau vertical et tuyau horizontal
laminaire v (d+2s2) <= 0.00855 [m/s²] alpha4_erzw_lam
turbulent alpha4_erzw_turb


According to [DIN EN ISO 12241, pages 17-20] radation can be calculated as follows:

alphar
ε: Émissivité [-]     σ: La constante de Stefan-Boltzmann 5.67 x 10-8 [W/(m² K4)]     T3, T4 [K]



Surfaceε [-]
Aluminium brut0.05
Aluminium oxydé0.13
Tôle zingué nue0.26
Tôle zingué sale0.44
non métallique0.94



Substituting equations (3), (4) and (5) into (2) results in a formula for the thermal transmittance per unit length:

u_l


Pipe suspensions, valves and flanges enlarge the thermal transmittance per unit lenght. [DIN EN ISO 12241, pages 35-37, 40-41] and [VDI 2055, pages 35-37, 150-153] indicate the amount by which Ul has to be raised. If the first suspension is of no importance, heat loss of the suspensions for pipe systems with a span of 1 meter can be approximated by a surcharge of 15% (indoor installation) and 25% (outdoor installation). How those surcharges develop with increasing span shows the following table:
 
Portée [m] 11.522.5 33.544.5 5
Installation à l'intérieur 15107.56 54.33.83.3 3
Implantation à l'extérieure 2516.712.510 8.37.16.35.6 5
Surcharge [%] for Ul for pipe suspensions neglecting the first suspension

If you want to calculate the losses of all suspensions, you have to multiply the table values by 2/1=2 when calculating 2 suspensions, by 3/2=1.5 with 3 suspensions, by 4/3=1.333 with 4 suspensions, by 5/4=1.2 with 5 suspensionsand so on.

Example: span 2[m], 10 suspensions, Implantation à l'extérieure:
Valeur additionnelle des ponts thermiques de l´installation = 10/9 x 12.5 = 13,9%



Thermal transmittance of a cylinder can be calculated as follows

u_ul

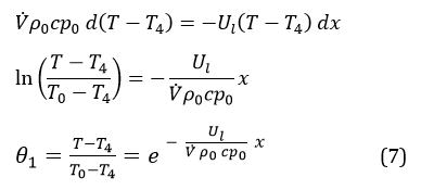
Substituting equation (2) into equation (1) leads to equation (7). Equation (7) describes the temperature profile of the medium along the pipe axis:

teta1

Thermal transmittance Ul and surface temperature T3 are calculated at every node (x = 0, x = x1, x = x2).

Dew formation on the pipe surface occurs if medium temperature is below ambient temperature and partial water vapor pressure equals saturation pressure at surface temperature. Vapour barrier layers (aluminum foil) minimize dew formation.



Instationary State

When the flow stops the temperature profile in every tube section dx changes with time. Neglecting axial heat transfer and the heat capacity of pipe wall and insulation we can write:

instationär


It is assumed that no phase change occurs in the medium. Thermal transmittance Ul and surface temperature T3 are calculated for the following nodes

teta2


Littérature
[DIN EN ISO 12241] DIN EN ISO 12241:2008-11 Thermal insulation for building equipment and industrial installations - Calculation rules (ISO 12241:2008); German version EN ISO 12241:2008
[VDI 2055] VDI 2055 July 1994 Thermal Insulation for Heated and Refrigerated Industrial and Domestic Installations, Verein Deutscher Ingenieure - Calculations, Guarantees, Measuring and Testing Methods, Quality Assurance, Supply Conditions


Home | Programmes de Calcul | Download | Upload | Propriétés physique et Théorie | Littérature | Liens | Convertisseur | Conditions d´utilisation | Mentions légales